The SwayTest provides an objective assessment of balance by directly measuring Center of Mass accelerations and angular velocities. Unlike force plates or pressure mats that infer sway from Center of Pressure displacement, the MoveTest captures postural movements directly and unobtrusively. This enables detailed evaluation of postural control in any clinical or research setting, without the need for dedicated lab equipment.
Key Outcomes
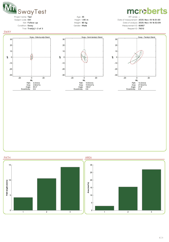
Sway Path
The total distance traveled by the Center of Mass during quiet standing, reflecting overall magnitude of postural movement.
Sway Velocity
Average sway velocity is calculated from the Center of Mass movement, providing a sensitive measure of postural stability and control.
Sway Area
The area covered by the sway trajectory is calculated to indicate the spatial spread of postural motion during the balance task.
Sway Angle
The predominant angle or direction of sway is derived from the movement trajectory, highlighting directional postural tendencies.
Sway Eccentricity
The geometric shape of the sway pattern is quantified, indicating whether sway is evenly distributed or biased toward a particular direction.
Sway Frequency
Dominant sway frequencies are extracted from acceleration signals, offering insight into postural control strategies and neuromuscular response patterns.
Resources
March, 2012
Salient and placebo vibrotactile feedback are equally effective in reducing sway in bilateral vestibular loss patients
February, 2010
Athletic skill level is reflected in body sway: A test case for accelometry in combination with stochastic dynamics
June, 2009


